第六章 理财规划计算工具与方法
第三节 不规则现金流的计算
考点:净现值(NPV)和内部回报率(IRR)(★★★)
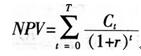
1.净现值(NPV)
净现值(NPv):是指所有现金流的现值之和。净现值为正值,说明投资能够获利:净现值为负值.说明投资是亏损的。

对于一个投资项目,如果NPV>0,表明该项目在r的回报率要求下是可行的.且NPV越大,投资收益越高。如果NPV<0,表明该项目在r的回报率要求下是不可行的。
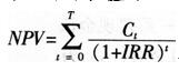
2.内部回报率(IRR)
内部回报率(IRR),又称内部报酬率或者内部收益率,是指使现金流的现值之和等于零的利率,即净现值等于0的贴现率。

对于一个投资项目,如果r<IRR,表明该项目有利可图;如果r>IRR,表明该项目无利可图。
- 还没有人评论,欢迎说说您的想法!
